Knickbeanspruchung
Werden schlanke und lange Bauteile wie z.B. Stäbe, Balken, Stützen etc. durch eine Kraft längs zur Stabachse unter Druckspannung gesetzt, können diese bereits vor dem Erreichen der Quetsch- bzw. Stauchgrenze durch seitliches Ausknicken ihre Funktionsfähigkeit verlieren. In dem Fall liegt kein Versagen des Werkstoffs vor, sondern ein Versagen der Form des Bauteils. Ein seitliches Ausknicken erfolgt, wenn das Bauteil durch die kritische Druckkraft in Labilität gerät und das stabile Gleichgewicht verliert. Dieser Vorgang ruft große Verformungen hervor und erfolgt meistens sehr plötzlich und schlagartig.

Die Kraft, durch die ein Bauteil in eine labile Lage gerät, wird Knicklast (Formelzeichen Fk) genannt. Die Gefährdung der Stabilität durch die Knicklast hängt von verschiedenen Faktoren ab:
- Werkstoffeigenschaften des Bauteils, insbesondere die plastische Verformbarkeit und das Elastizitätsmodul
- Länge des Bauteils (Stablänge)
- Flächenträgkeitsmoment des Bauteils (abhängig von der Querschnittsform)
- Art der Beanspruchung des Bauteils (Verlauf der Druckkraft und des Biegemoments)
- Art der Lagerung der Enden des Bauteils (Fest eingespannt, gelagert, gestützt)
Durch die Knicklast können die Bauteile unterschiedlich verformt werden:
- Biegeknicken: Durch ein seitliches Ausweichen der Stabachse wird das Bauteil geknickt.
- Drillknicken: Der Querschnitt des Bauteils wird verdreht.
- Biegedrillknicken: Wenn Biegeknicken und Drillknicken gleichzeitig auftreten.
Formelzeichen bei Knickberechnungen
Bei Berechnungen zur Knickung von Bauteilen werden folgende Formelzeichen benutzt:
- Knickkraft: Formelzeichen Fk. Das ist die Kraft, durch die ein Bauteil das Gleichgewicht verliert.
- Elastizitätsmodul: Formelzeichen E. Das ist ein Kennwert für Werkstoffe, mit dem das Dehnungsverhalten angegeben wird, wenn der Werkstoff unterhalb der Streckgrenze unter Zugspannung gesetzt wird. Das Elastitizitätsmodul ist das Verhältnis der Zugspannung zur Dehnung in Kraft pro Fläche. Werkstoffe mit einem niedrigen Elastizitätsmodul sind elastischer und besitzen daher eine höhere Dehnbarkeit. Werkstoffe mit einem hohen Elastizitätsmodul sind dagegen steif. Der Wert wird aus den Datenblättern und Tabellenbüchern entnommen. Alternativ kann sie auch ermittelt werden.
- Flächenmoment des 2. Grades: Formelzeichen I. Wird auch axiales Flächenträgheitsmoment des Querschnitts genannt. Mit dem Flächenträgheitsmoment wird die Steifigkeit eines Querschnitts bei einer Biegung um die Achsen angegeben. Würde man beispielsweise ein Lineal horizontal und flach an einem Ende einspannen, kann man es durch Druck am anderen Ende wesentlich leichter biegen als wenn man es an einem Ende horizontal und hochkantig einspannen würde. Diese Steifigkeit ergibt sich allein aus der geometrischen Form des Querschnitts. Die Werte für den Flächenträgheitsmoment entnimmt man ebenfalls aus den Datenblättern der Materialhersteller oder aus Tabellenbüchern. Sind keine Daten vorhanden, kann man es mit dem Satz von Steiner berechnen.
- Länge des Bauteils: Formelzeichen l. Wird auch Stablänge genannt.
- Knicklänge mit Knicklängenbeiwerten nach Euler: Formelzeichen s.
Knicklänge mit Knicklängenbeiwerten nach Euler
Leonhard Euler hat das Knicken langer, dünner, und elastischer Stäbe untersucht und vier Fälle benannt, die auch Eulersche Knickfälle genannt werden. Mit Hilfe dieser 4 Fälle wird die Knicklänge mit Knicklängenbeiwerten ermittelt, die bei der Berechnung (nach Euler) eingesetzt werden können, um die Knickkraft zu ermitteln. Die 4 Fälle unterscheiden sich in der Lagerung der Enden, wodurch die Knicklänge beeinflusst wird. Daraus resultieren folgende Knicklängen (s):
- Fall 1: s = 2 · l. Das untere Ende ist fest eingespannt, das obere Ende ist frei.
- Fall 2: s = 1 · l. Das untere Ende ist gelagert (gelenkig), das obere ebenfalls.
- Fall 3: s = 0,699 · l. Das untere Ende ist fest, das obere Ende ist gelenkig.
- Fall 4: s = 0,5 · l. Das untere Ende ist fest eingespannt, das obere ebenfalls.

Knicklast berechnen
Hat man das Elastizitätsmodul, den Flächenmoment des 2. Grades und die Knicklänge ermittelt, kann die Knicklast berechnet werden. Die Formel hierfür ist:

Beispiel für Eulersche Fall 1:
Stablänge (l): 300 cm
Elastizitätsmodul (E): 196000 N/mm² = 19600000 N/cm²
Flächenmoment des 2. Grades (I): 1360 cm4
Knicklänge (s): 2 · 300 cm = 600 cm
Gesucht: Knicklast Fk
Berechnung: 3,14² · 19600000 · 1360 : 600² = 730048,60 Newton
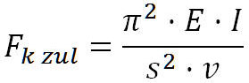
Zulässige Knickkraft unter Berücksichtigung des Sicherheitsfaktors
Wie bei allen Beanspruchungsarten muss man Bauteile so dimensionieren, dass die Belastung nicht bis an die theoretische Belastungsgrenze des Bauteils geht. Es muss ein Sicherheitsfaktor berücksichtigt werden, der auch Sicherheitszahl genannt wird. Bei der Beanspruchungsart Knickung würde somit eine Sicherheitsreserve zwischen der zulässigen Knickkraft (Fk zul) und der Knicklast (Fk) schaffen. Die Formel für die zulässige Knickkraft unter Berücksichtigung der Sicherheitszahl (Formelzeichen v) ist:

Beispiel für Eulersche Fall 1:
Stablänge (l): 300 cm
Elastizitätsmodul (E): 196000 N/mm² = 19600000 N/cm²
Flächenmoment des 2. Grades (I): 1360 cm4
Knicklänge (s): 2 · 300 cm = 600 cm
Sicherheitszahl (v): 10
Gesucht: Zulässige Knickkraft Fk zul
Berechnung: 3,14² · 19600000 · 1360 : (600² · 10) = 73004,860 Newton