Höhensatz des Euklid
Mit dem Höhensatz des Euklid besteht die Möglichkeit, fehlende Längen in einem rechtwinkligen Dreieck zu berechnen. Es ist eine Formel, die wie der Kathetensatz des Euklid vom Satz des Pythagoras abgeleitet ist.
Die beiden Katheten a und b bilden den rechten Winkel. Dabei ist es unerheblich, welche Seite man als a nimmt und welche Seite als b. Sie können vertauscht werden, das spielt keine Rolle bei der Berechnung. Die Seite, die gegenüber dem rechten Winkel liegt, ist immer die längste Seite und wird mit dem Buchstaben c gekennzeichnet, auch Hypotenuse genannt.

Wie beim Kathetensatz wird auch beim Höhensatz des Euklid die Seite c getrennt. So entstehen die beiden Teillängen q und p. Die Teilung erfolgt an der Stelle, an der die Höhe h auf c trifft. Mit der Höhe h bilden die beiden Seitenlängen q und p einen rechten Winkel.
Der Höhensatz des Euklid besagt nun folgendes:
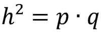
- Die Fläche h² ist genauso groß wie die Fläche aus q · p.
Formeln für den Höhensatz des Euklids
Dadurch, dass die beiden Fläche gleich groß sind, ergibt sich folgende Formel:

Möchte man die Seitenlängen h ermitteln, braucht man lediglich von h² die Wurzel zu ziehen. Die Formel ändert sich dann wie folgt:

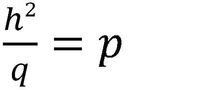
Um p oder q auszurechnen, ändert man die Formel wie folgt ab:


Beispiel um die Höhe h mit dem Höhensatz des Euklids zu berechnen
Folgende Längen sind bekannt:
q = 3
p = 6
Gesucht ist die Höhe h.
h² = q · p
h² = 3 · 6
h² = 18
Wurzel aus 18 ergibt 4,242 für die Höhe h.