Geschwindigkeit bei ungleichförmiger Bewegung berechnen
Bei einer ungleichförmigen Bewegung wird ein Körper mit einer sich verändernden Geschwindigkeit bewegt. Die Veränderung kann sowohl eine Beschleunigung als auch eine Verzögerung sein.
Eine bekannte Größe ist z.B. die Fallbeschleunigung. Dabei wird pro Sekunde die Geschwindigkeit um 9,81 m/s gesteigert, was eine Fallbeschleunigung von 9,81 m/s² darstellt und m/s² in dem Fall die Einheit für die Beschleunigung ist. Bei einer Verzögerung verhält es sich umgekehrt. Hat man z.B. bei einer Bremsung eine Verzögerung von 5 m/s², so bedeutet das, dass die Geschwindigkeit pro Sekunde um 5 m/s abnimmt.

Einheit m/s²
Eine häufig gestellte Frage ist, woher denn z.B. die Einheit m/s² kommt, insbesondere das Quadrat.
- Mit m/s wird die Geschwindigkeit angegeben, z.B. 5 m/s.
- Für die Geschwindigkeitsänderung braucht man wieder eine Zeiteinheit um anzugeben, dass sich die Geschwindigkeit innerhalb dieser Zeiteinheit ändert. Dazu benutzt man wieder die Sekunde (s).
- Demzufolge setzt sich die Einheit für die Änderung der Geschwindigkeit aus diesen beiden Einheiten zusammen und wird in der Form m/s/s angegeben.
- Das kann man nun ausklammern und man erhält m/(s · s).
- Zum Schluss wird (s · s) zusammengefasst (ergibt s²) und man erhält m/s².
Berechnungen bei ungleichförmigen Bewegungen
Bei ungleichförmigen Bewegungen berechnet man folgende Größen:
- Endgeschwindigkeit (bei Beschleunigung): Formelzeichen v
- Anfangsgeschwindigkeit (bei Verzögerung): Formelzeichen v
- Beschleunigungsweg: Formelzeichen s
- Verzögerungsweg: Formelzeichen s
- Beschleunigung: Formelzeichen a
- Verzögerung: Formelzeichen a
- Zeit: Formelzeichen t
Formel für End- oder Anfangsgeschwindigkeit

Beispiel für Endgeschwindigkeit (bei Beschleunigung):
Beschleunigung (a): 5 m/s²
Zeit (t): 5 Sekunden
Beschleunigungsweg (s): 62,5 m
Gesucht: Endgeschwindigkeit v
Berechnung mit der ersten Formel: 5 : 5 = 25 m/s
Berechnung mit der zweiten Formel: 2 · 62,5 · 5 = 625, Wurzel aus 625 = 25 m/s
Das Beispiel kann auch für die Anfangsgeschwindigkeit bei einer Verzögerung von 5 m/s², einem Verzögerungsweg von 62,5 m und einer Zeit von 5 s verwendet werden.
Formel für den Beschleunigungs- und Verzögerungsweg

Beispiel (bei Beschleunigung):
Endgeschwindigkeit (v): 25 m/s
Beschleunigung (a): 5 m/s²
Zeit (t): 5 s
Gesucht: Beschleunigungsweg s
Berechnung mit der 1. Formel: 25 · 25 : (2 · 5) = 62,5 m
Berechnung mit der 2. Formel: 0,5 · 25 · 5 = 62,5 m
Berechnung mit der 3. Formel: 0,5 · 5 · 5 · 5 = 62,5 m
Das Beispiel kann auch bei einer Anfangsgeschwindigkeit von 25 m/s, einer Verzögerung von 5 m/s und einer Zeit von 5 s für den Verzögerungsweg verwendet werden.
Formel für Beschleunigung oder Verzögerung

Beispiel (bei Beschleunigung):
Endgeschwindigkeit (v): 25 m/s
Beschleunigungsweg (s): 62,5 m
Zeit (t): 5 s
Gesucht: Beschleunigung a
Berechnung mit der 1. Formel: 25 : 5 = 5 m/s²
Berechnung mit der 2. Formel: 25 · 25 : (2 · 62,5) = 5 m/s²
Berechnung mit der 3. Formel: 62,5 : (0,5 · 25) = 5 m/s²
Das Beispiel kann auch bei einer Anfangsgeschwindigkeit von 25 m/s, einem Verzögerungsweg von 62,5 m und einer Zeit von 5 s für die Berechnung der Verzögerung verwendet werden.
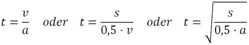
Formel für Zeit

Beispiel (bei Beschleunigung):
Endgeschwindigkeit (v): 25 m/s
Beschleunigung (a): 5 m/s²
Beschleunigungsweg (s): 62,5 m
Gesucht: Zeit t
Berechnung mit der 1. Formel: 25 : 5 = 5 Sekunden
Berechnung mit der 2. Formel: 62,5 : (0,5 · 25) = 5 Sekunden
Berechnung mit der 3. Formel: 62,5 : (2,5) = 25, Wurzel aus 25 = 5 Sekunden
Das Beispiel kann auch bei einer Anfangsgeschwindigkeit von 25 m/s, einer Verzögerung von 5 m/s² und einem Verzögerungsweg von 62,5 m für die Berechnung der Zeit verwendet werden.